Document Page: First | Prev | Next | All | OCR | This Release | Search

File: 072496_jul96_decls7_0017.gif
Page: 0017
Total Pages: 58


Document Page: First | Prev | Next | All | OCR | This Release | Search


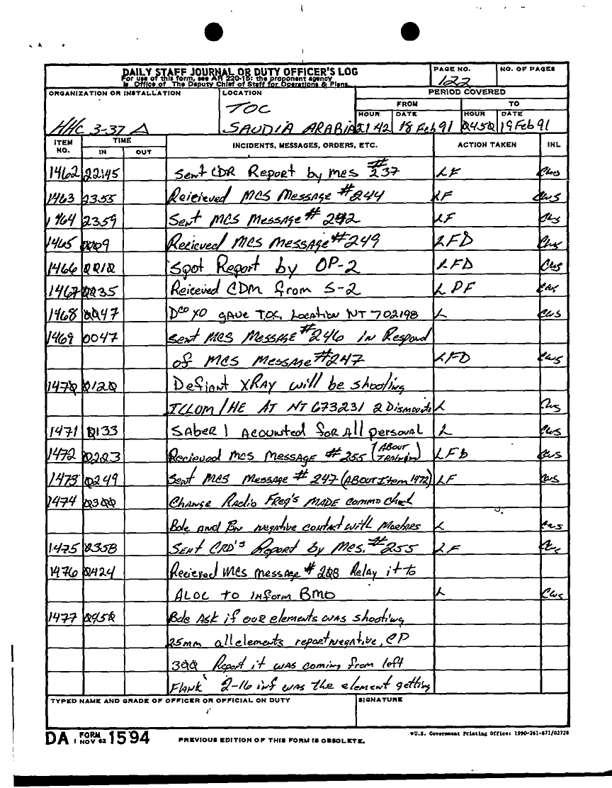
Document 58 f:/Week-27/BX001030/FEBRUARY 1991 DAY 16-23/daily staff journal:0719961126387
Control Fields 17
File Room = jul96_declassified
File Cabinet = Week-27
Box ID = BX001030
Unit = 1ST ID
Parent Organization = VII CORPS
Folder Title = FEBRUARY 1991 DAY 16-23
Folder Seq # = 20
Subject = DAILY STAFF JOURNAL
Document Seq # = 7
Document Date =
Scan Date =
Queued for Declassification = 01-JAN-1980
Short Term Referral = 01-JAN-1980
Long Term Referral = 01-JAN-1980
Permanent Referral = 01-JAN-1980
Non-Health Related Document = 01-JAN-1980
Declassified = 19-JUL-1996