Document Page: First | Prev | Next | All | OCR | This Release | Search

File: 102496_jun96_decls54_0011.gif
Page: 0011
Total Pages: 23


Document Page: First | Prev | Next | All | OCR | This Release | Search


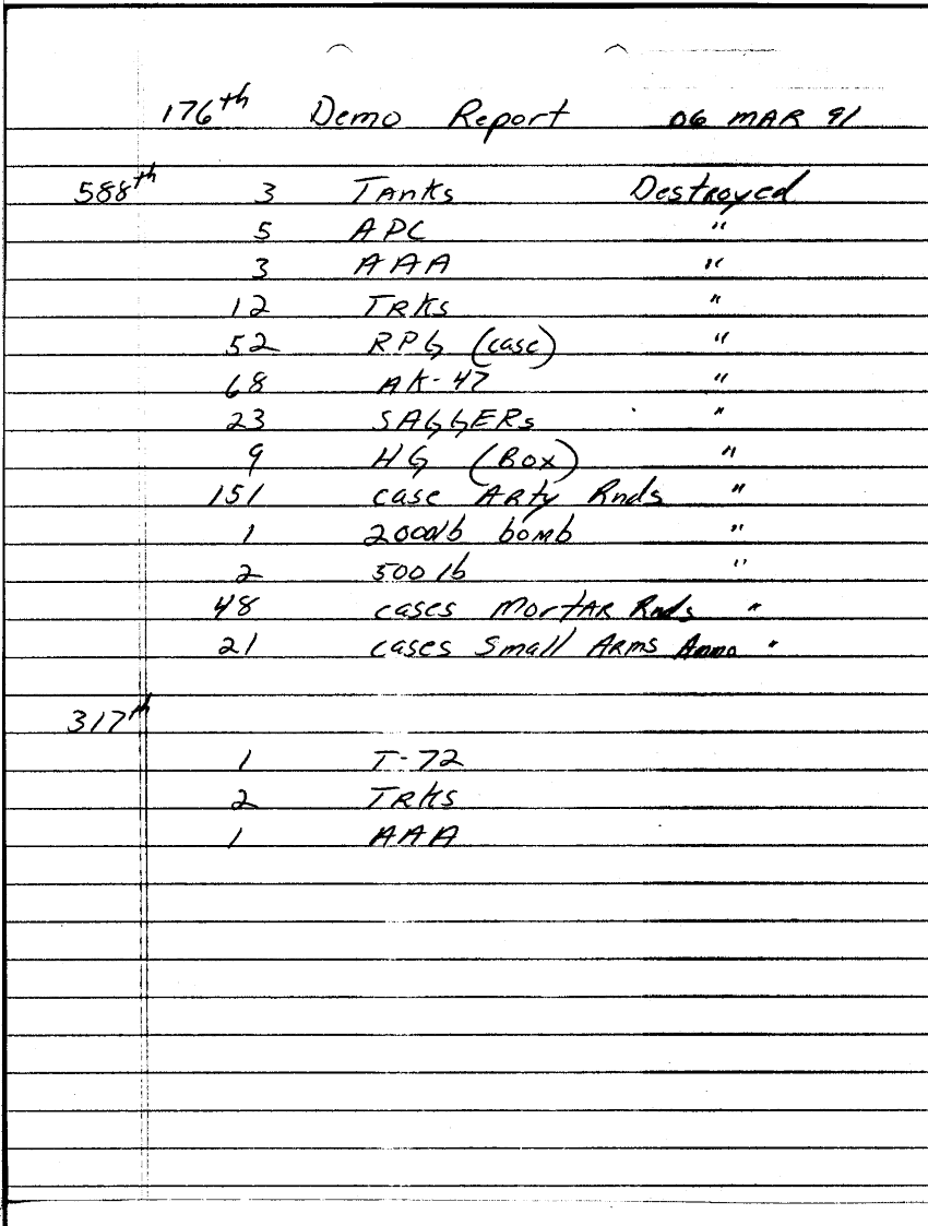
Document 23 f:/Week-24/BX000211/TASK FORCE DEMO DESTROYED TARGETS 1/destroyed targets:101196154232108
Control Fields 17
File Room = jun96_declassified
File Cabinet = Week-24
Box ID = BX000211
Unit = VII CORPS
Parent Organization = ARCENT
Folder Title = TASK FORCE DEMO DESTROYED TARGETS 1
Folder Seq # = 116
Subject = DESTROYED TARGETS
Document Seq # = 27
Document Date =
Scan Date =
Queued for Declassification = 01-JAN-1980
Short Term Referral = 01-JAN-1980
Long Term Referral = 01-JAN-1980
Permanent Referral = 01-JAN-1980
Non-Health Related Document = 01-JAN-1980
Declassified = 11-OCT-1996