Document Page: First | Prev | Next | All | OCR | This Release | Search

File: 102996_jun96_decls9_0017.gif
Page: 0017
Total Pages: 48


Document Page: First | Prev | Next | All | OCR | This Release | Search


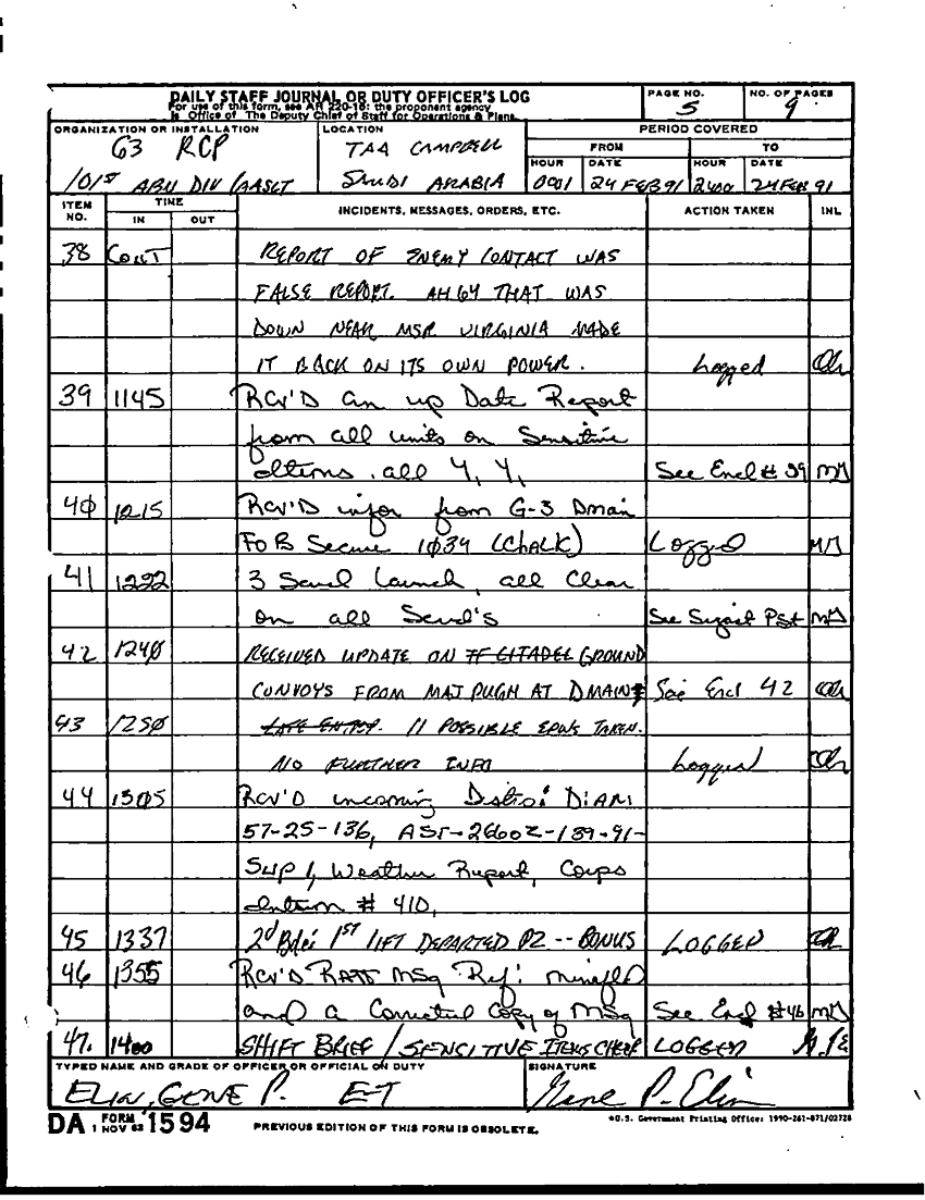
Document 48 f:/Week-22/BX001604/DUTY LOG G3 MAIN 15-27 SEP 90 G3 REAR 21-28 FEB 91/daily staff journal:10259613091549
Control Fields 17
File Room = jun96_declassified
File Cabinet = Week-22
Box ID = BX001604
Unit = 101ST ID
Parent Organization = XVIII CORPS
Folder Title = DUTY LOG G3 MAIN 15-27 SEP 90 G3 REAR 21-28 FEB 91
Folder Seq # = 405
Subject = DAILY STAFF JOURNAL
Document Seq # = 2
Document Date =
Scan Date =
Queued for Declassification = 01-JAN-1980
Short Term Referral = 01-JAN-1980
Long Term Referral = 01-JAN-1980
Permanent Referral = 01-JAN-1980
Non-Health Related Document = 01-JAN-1980
Declassified = 25-OCT-1996