Document Page: First | Prev | Next | All | OCR | This Release | Search

File: 110596_jun96_decls10_0006.gif
Page: 0006
Total Pages: 7


Document Page: First | Prev | Next | All | OCR | This Release | Search


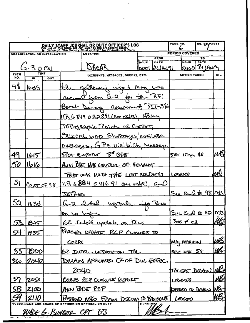
Document 7 f:/Week-22/BX001601/DUTY LOG G3 REAR 21 JAN 91/daily staff journal 21 jan 91:11049609133877
Control Fields 17
File Room = jun96_declassified
File Cabinet = Week-22
Box ID = BX001601
Unit = 101ST ID
Parent Organization = XVIII CORPS
Folder Title = DUTY LOG G3 REAR 21 JAN 91
Folder Seq # = 340
Subject = DAILY STAFF JOURNAL 21 JAN 91
Document Seq # = 2
Document Date =
Scan Date =
Queued for Declassification = 01-JAN-1980
Short Term Referral = 01-JAN-1980
Long Term Referral = 01-JAN-1980
Permanent Referral = 01-JAN-1980
Non-Health Related Document = 01-JAN-1980
Declassified = 04-NOV-1996