Document Page: First | Prev | Next | All | OCR | This Release | Search

File: 120396_aug96_decls19_0003.gif
Page: 0003
Total Pages: 3


Document Page: First | Prev | Next | All | OCR | This Release | Search


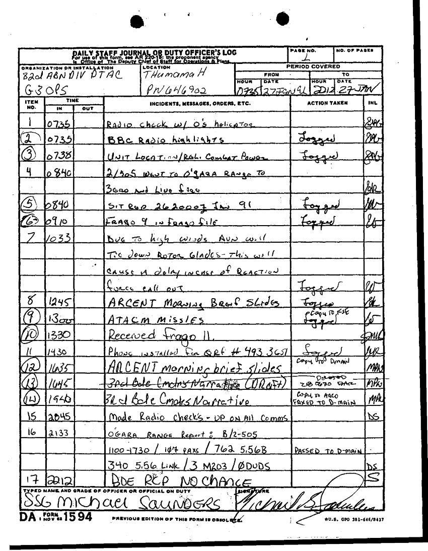
Document 3 f:/Week-33/BX001507/DUTY LOG G3 TAC 27-28 JAN 91/daily staff journal or duty officers log 28 jan :11229616374648
Control Fields 17
File Room = aug96_declassified
File Cabinet = Week-33
Box ID = BX001507
Unit = 82D AB
Parent Organization = XVIII CORPS
Folder Title = DUTY LOG G3 TAC 27-28 JAN 91
Folder Seq # = 35
Subject = DAILY STAFF JOURNAL OR DUTY OFFICERS LOG 28 JAN
Document Seq # = 1
Document Date =
Scan Date =
Queued for Declassification = 01-JAN-1980
Short Term Referral = 01-JAN-1980
Long Term Referral = 01-JAN-1980
Permanent Referral = 01-JAN-1980
Non-Health Related Document = 01-JAN-1980
Declassified = 22-NOV-1996