Document Page: First | Prev | Next | All | OCR | This Release | Search

File: 123096_mar96_decls2_0002.gif
Page: 0002
Total Pages: 25


Document Page: First | Prev | Next | All | OCR | This Release | Search


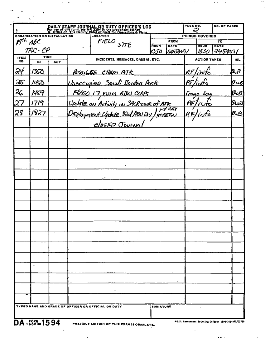
Document 25 f:/Week-12/BX000024/DUTY LOG G3 TAC CP 24 JAN 91/daily staff journal or duty officers log:12179611153137
Control Fields 17
File Room = mar96_declassified
File Cabinet = Week-12
Box ID = BX000024
Unit = XVIII CORPS
Parent Organization = ARCENT
Folder Title = DUTY LOG G3 TAC CP 24 JAN 91
Folder Seq # = 60
Subject = DAILY STAFF JOURNAL OR DUTY OFFICERS LOG
Document Seq # = 3
Document Date =
Scan Date =
Queued for Declassification = 01-JAN-1980
Short Term Referral = 01-JAN-1980
Long Term Referral = 01-JAN-1980
Permanent Referral = 01-JAN-1980
Non-Health Related Document = 01-JAN-1980
Declassified = 17-DEC-1996