Document Page: First | Prev | Next | All | OCR | This Release | Search

File: 102596_sep96_decls21_0012.gif
Page: 0012
Total Pages: 14


Document Page: First | Prev | Next | All | OCR | This Release | Search


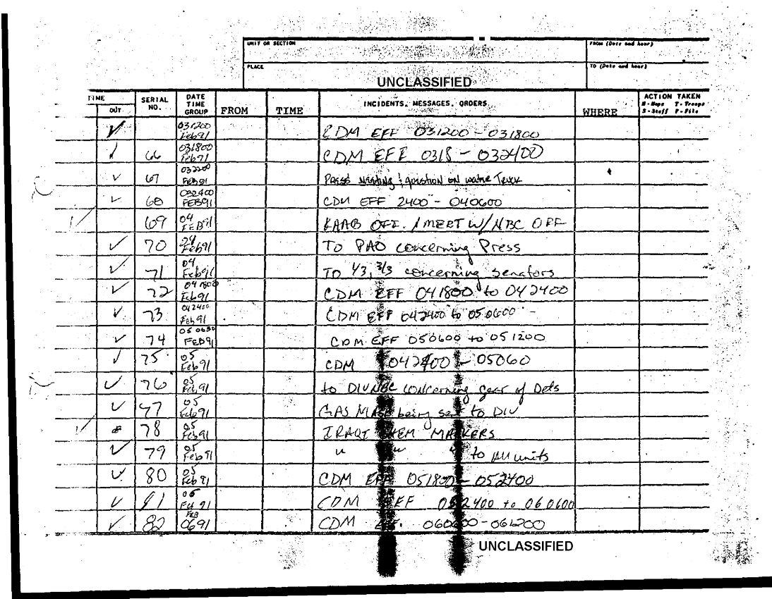
Document 14 f:/Week-38/BX600025/COMMAND CHRONOLOGY 1ST BATTALION 12TH MARINE REGIMENT MAR - JUN 1991 1 OF 3/incidents messages journal orders:10189614542322
Control Fields 17
File Room = sep96_declassified
File Cabinet = Week-38
Box ID = BX600025
Unit = 1ST 12TH MAR
Parent Organization = 11TH MARINES
Folder Title = COMMAND CHRONOLOGY 1ST BATTALION 12TH MARINE REGIMENT MAR - JUN 1991 1 OF 3
Folder Seq # = 7
Subject = INCIDENTS MESSAGES JOURNAL ORDERS
Document Seq # = 27
Document Date =
Scan Date =
Queued for Declassification = 01-JAN-1980
Short Term Referral = 01-JAN-1980
Long Term Referral = 01-JAN-1980
Permanent Referral = 01-JAN-1980
Non-Health Related Document = 01-JAN-1980
Declassified = 18-OCT-1996