Document Page: First | Prev | Next | All | OCR | This Release | Search

File: 970101_sep96_decls58_0002.gif
Page: 0002
Total Pages: 2


Document Page: First | Prev | Next | All | OCR | This Release | Search


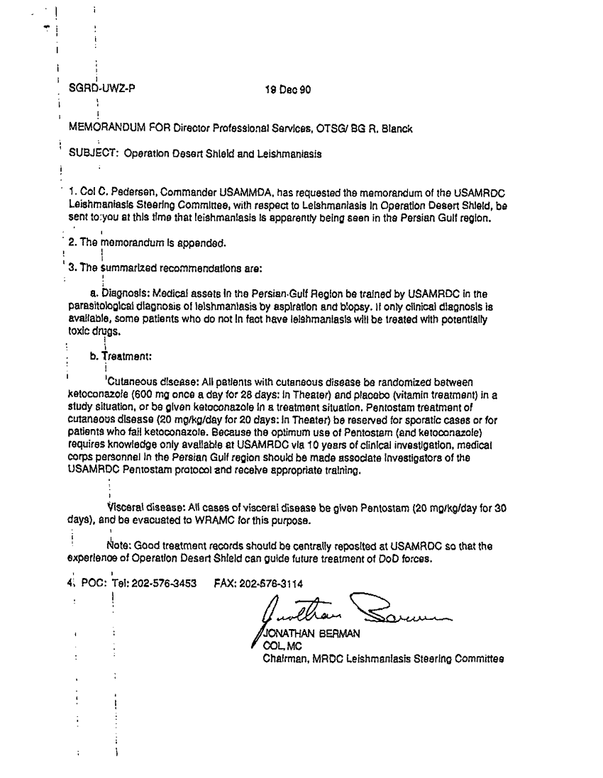
Document 2 f:/Week-36/BX003205/TREATING LEISHMANIASIS WITH KETOCONAZOLE-PLACEBO AND PENTOSTAM/army medical research development center memo:12249609314259
Control Fields 17
File Room = sep96_declassified
File Cabinet = Week-36
Box ID = BX003205
Unit = OTSG
Parent Organization = HSC
Folder Title = TREATING LEISHMANIASIS WITH KETOCONAZOLE-PLACEBO AND PENTOSTAM
Folder Seq # = 6
Subject = ARMY MEDICAL RESEARCH DEVELOPMENT CENTER MEMO
Document Seq # = 1
Document Date =
Scan Date =
Queued for Declassification = 01-JAN-1980
Short Term Referral = 01-JAN-1980
Long Term Referral = 01-JAN-1980
Permanent Referral = 01-JAN-1980
Non-Health Related Document = 01-JAN-1980
Declassified = 24-DEC-1996