Document Page: First | Prev | Next | All | OCR | This Release | Search

File: 042496_apr_decls13_0001.gif
Page: 0001
Total Pages: 3


Document Page: First | Prev | Next | All | OCR | This Release | Search


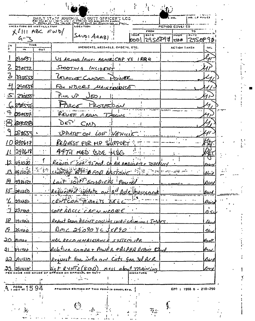
Document 3 f:/Week-13/BX000002/DUTY LOG MAIN CP G3 29 SEP 90/daily staff journal log:041796160120125
Control Fields 17
File Room = apr96_declassified
File Cabinet = Week-13
Box ID = BX000002
Unit = XVIII CORPS
Parent Organization = ARCENT
Folder Title = DUTY LOG MAIN CP G3 29 SEP 90
Folder Seq # = 35
Subject = DAILY STAFF JOURNAL LOG
Document Seq # = 2
Document Date = 01-JAN-1980
Scan Date = 05-APR-1996
Queued for Declassification = 01-JAN-1980
Short Term Referral = 01-JAN-1980
Long Term Referral = 01-JAN-1980
Permanent Referral = 01-JAN-1980
Non-Health Related Document = 01-JAN-1980
Declassified = 17-APR-1996