Document Page: First | Prev | Next | All | OCR | This Release | Search

File: 042496_mar_decls100_0001.gif
Page: 0001
Total Pages: 16


Document Page: First | Prev | Next | All | OCR | This Release | Search


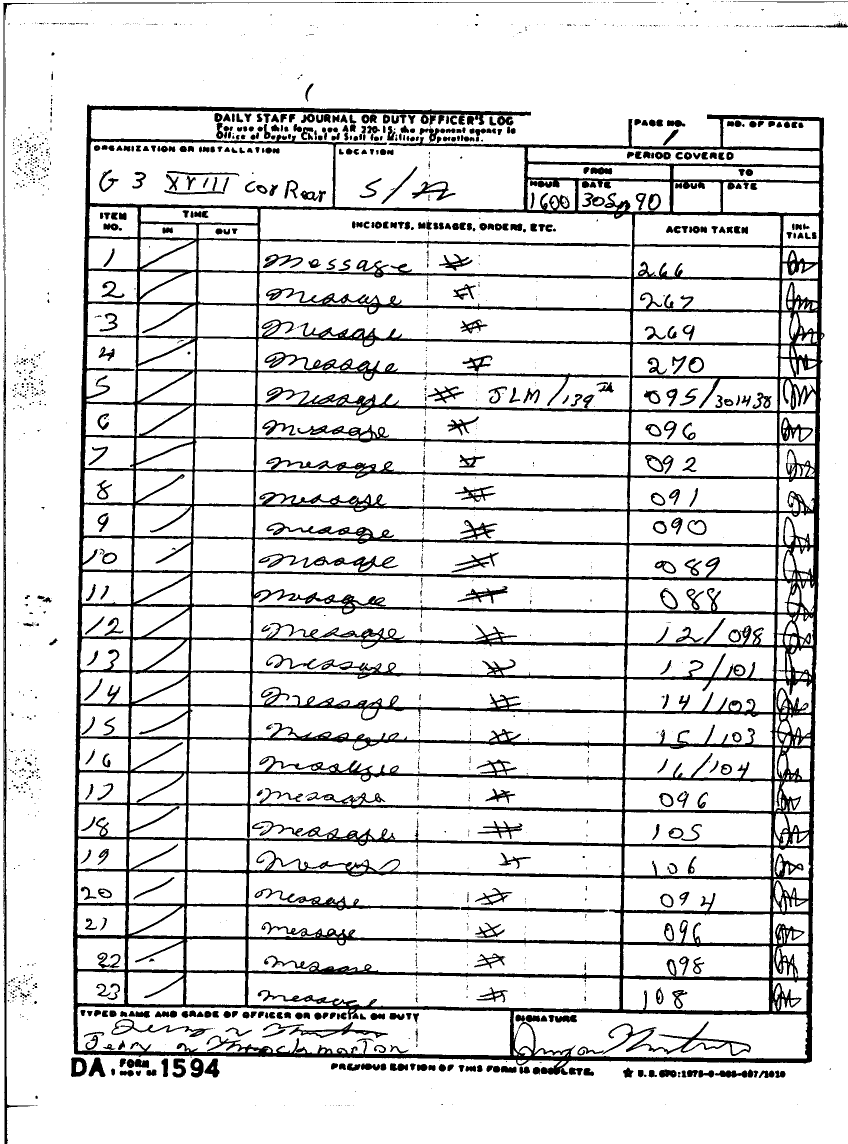
Document 16 f:/Week-10/BX000020/DUTY LOG G3 REAR CHIEF OF OPERATIONS DUTY LOG/daily staff journal or duty officers log 30 sept:041796160120114
Control Fields 17
File Room = mar96_declassified
File Cabinet = Week-10
Box ID = BX000020
Unit = XVIII CORPS
Parent Organization = ARCENT
Folder Title = DUTY LOG G3 REAR CHIEF OF OPERATIONS DUTY LOG
Folder Seq # = 4
Subject = DAILY STAFF JOURNAL OR DUTY OFFICERS LOG 30 SEPT 90
Document Seq # = 93
Document Date = 01-JAN-1980
Scan Date = 27-MAR-1996
Queued for Declassification = 01-JAN-1980
Short Term Referral = 01-JAN-1980
Long Term Referral = 01-JAN-1980
Permanent Referral = 01-JAN-1980
Non-Health Related Document = 01-JAN-1980
Declassified = 17-APR-1996