Document Page: First | Prev | Next | All | OCR | This Release | Search

File: 072496_jun96_decls1_0001.gif
Page: 0001
Total Pages: 3


Document Page: First | Prev | Next | All | OCR | This Release | Search


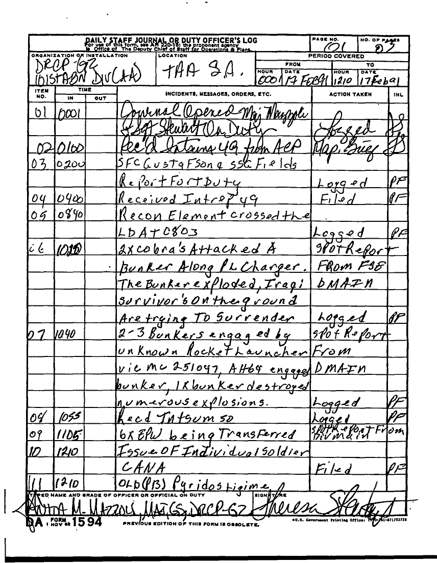
Document 3 f:/Week-22/BX001605/101ST ABN DIV AASLT DUTY LOG FEB 91-F/daily staff journal or duty officers log 17 feb:0719961017534
Control Fields 17
File Room = jun96_declassified
File Cabinet = Week-22
Box ID = BX001605
Unit = 101ST ID
Parent Organization = XVIII CORPS
Folder Title = 101ST ABN DIV AASLT DUTY LOG FEB 91-F
Folder Seq # = 66
Subject = DAILY STAFF JOURNAL OR DUTY OFFICERS LOG 17 FEB
Document Seq # = 4
Document Date =
Scan Date =
Queued for Declassification = 01-JAN-1980
Short Term Referral = 01-JAN-1980
Long Term Referral = 01-JAN-1980
Permanent Referral = 01-JAN-1980
Non-Health Related Document = 01-JAN-1980
Declassified = 19-JUL-1996