Document Page: First | Prev | Next | All | OCR | This Release | Search

File: 120396_mar96_decls8_0001.gif
Page: 0001
Total Pages: 21


Document Page: First | Prev | Next | All | OCR | This Release | Search


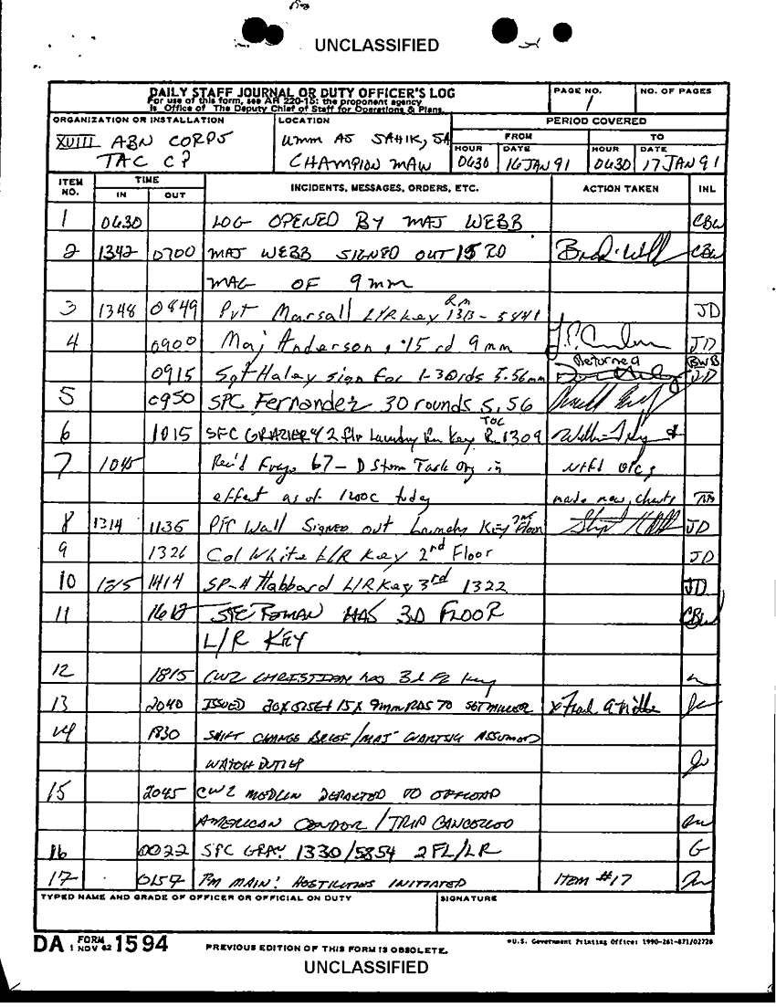
Document 21 f:/Week-12/BX000024/DUTY LOG G3 TAC CP 16 JAN 91/daily staff journal or duty officers log:11089615153157
Control Fields 17
File Room = mar96_declassified
File Cabinet = Week-12
Box ID = BX000024
Unit = XVIII CORPS
Parent Organization = ARCENT
Folder Title = DUTY LOG G3 TAC CP 16 JAN 91
Folder Seq # = 51
Subject = DAILY STAFF JOURNAL OR DUTY OFFICERS LOG
Document Seq # = 2
Document Date =
Scan Date =
Queued for Declassification = 01-JAN-1980
Short Term Referral = 01-JAN-1980
Long Term Referral = 01-JAN-1980
Permanent Referral = 01-JAN-1980
Non-Health Related Document = 01-JAN-1980
Declassified = 08-NOV-1996