Document Page: First | Prev | Next | All | OCR | This Release | Search

File: 970101_jun96_decls4_0001.gif
Page: 0001
Total Pages: 85


Document Page: First | Prev | Next | All | OCR | This Release | Search


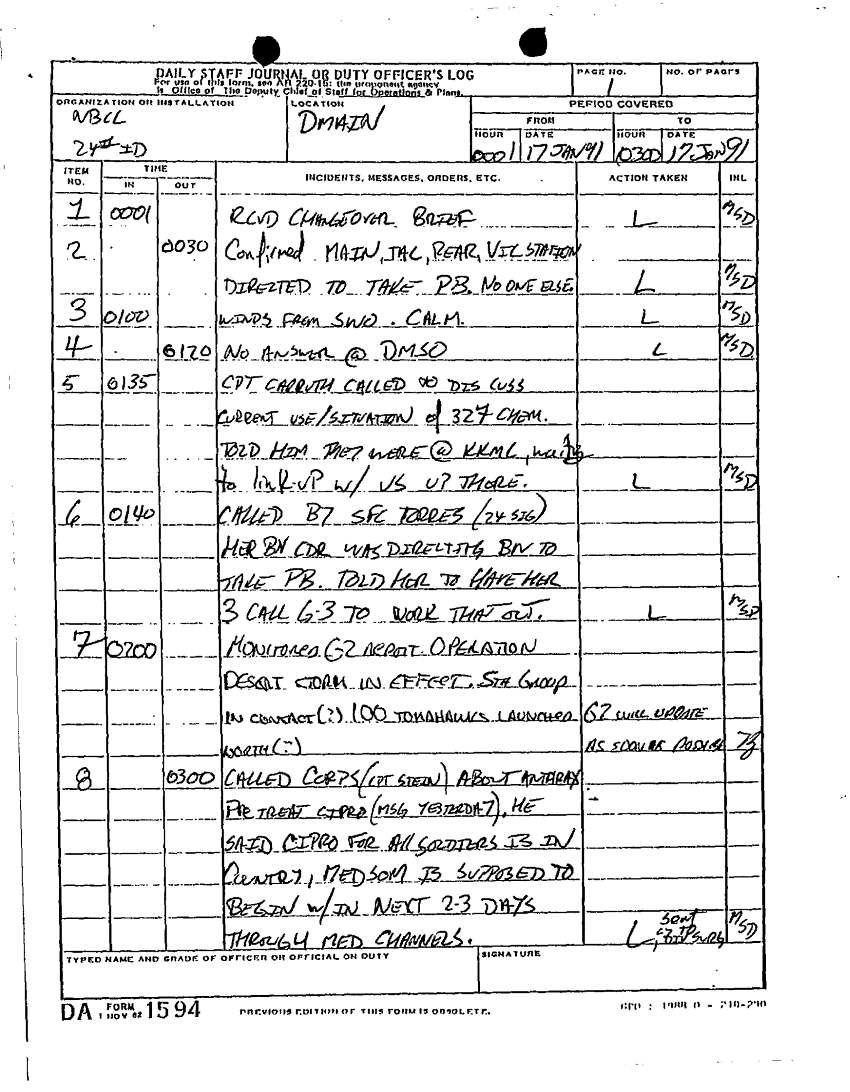
Document 85 f:/Week-22/BX001431/DAILY STAFF JOURNALS 24TH INF JAN MAR 91/daily staff journal:12269616085661
Control Fields 17
File Room = jun96_declassified
File Cabinet = Week-22
Box ID = BX001431
Unit = 24TH ID
Parent Organization = XVIII CORPS
Folder Title = DAILY STAFF JOURNALS 24TH INF JAN MAR 91
Folder Seq # = 334
Subject = DAILY STAFF JOURNAL
Document Seq # = 2
Document Date =
Scan Date =
Queued for Declassification = 01-JAN-1980
Short Term Referral = 01-JAN-1980
Long Term Referral = 01-JAN-1980
Permanent Referral = 01-JAN-1980
Non-Health Related Document = 01-JAN-1980
Declassified = 26-DEC-1996