Document Page: First | Prev | Next | All | OCR | This Release | Search

File: 970512_jul96_decls127_0001.gif
Page: 0001
Total Pages: 9


Document Page: First | Prev | Next | All | OCR | This Release | Search


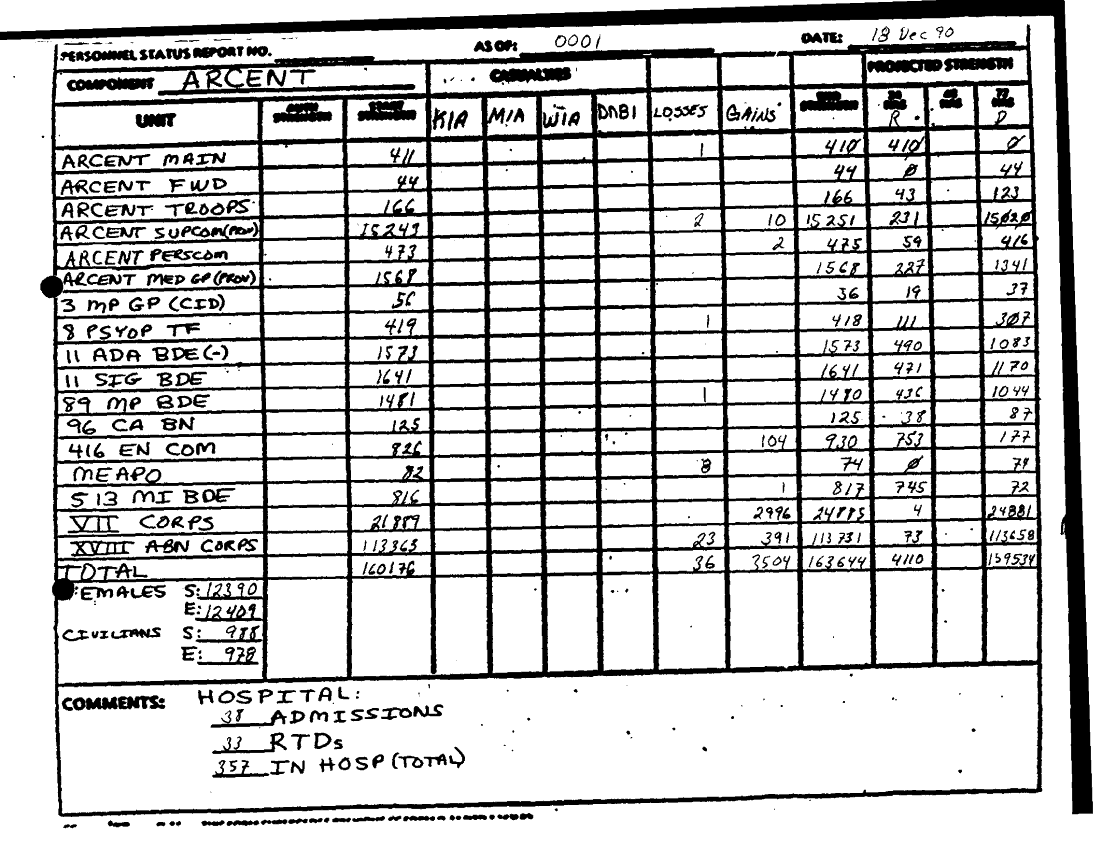
Document 9 f:/Week-28/BX000411/COMMAND REPORTS - PERSTATS AUG-DEC 90 PART 2/arcent perstat 18 dec 90:050997114112144
Control Fields 17
File Room = jul96_declassified
File Cabinet = Week-28
Box ID = BX000411
Unit = ARCENT
Parent Organization = CENTCOM
Folder Title = COMMAND REPORTS - PERSTATS AUG-DEC 90 PART 2
Folder Seq # = 1
Subject = ARCENT PERSTAT 18 DEC 90
Doc Seq # = 37
Doc Date =
Scan Date = 01-OCT-1996
Queued for Declassification = 24-MAR-1997
SAGWI Request = 01-JAN-1980
Long Term Referral = 01-JAN-1980
Permanent Referral = 01-JAN-1980
Non-Health Related Document = 01-JAN-1980
Declassified = 09-MAY-1997