Document Page: First | Prev | Next | All | OCR | This Release | Search

File: 102596_sep96_decls16_0002.gif
Page: 0002
Total Pages: 16


Document Page: First | Prev | Next | All | OCR | This Release | Search


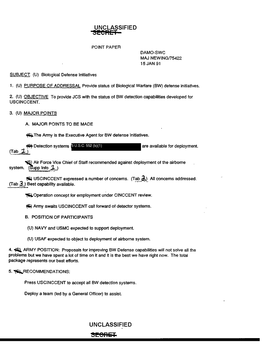
Document 16 f:/Week-36/BX003202/UPDATE ON THE MEDICAL BIOLOGICAL WARFARE -BW- DEFENSE PROGRAM/point papers 15jan91:10189613544417
Control Fields 17
File Room = sep96_declassified
File Cabinet = Week-36
Box ID = BX003202
Unit = OTSG
Parent Organization = HSC
Folder Title = UPDATE ON THE MEDICAL BIOLOGICAL WARFARE -BW- DEFENSE PROGRAM
Folder Seq # = 22
Subject = POINT PAPERS 15JAN91
Document Seq # = 4
Document Date =
Scan Date =
Queued for Declassification = 01-JAN-1980
Short Term Referral = 01-JAN-1980
Long Term Referral = 01-JAN-1980
Permanent Referral = 01-JAN-1980
Non-Health Related Document = 01-JAN-1980
Declassified = 18-OCT-1996